| Sorsz. |
Kategória |
ÁKÓ
2025
2. negyedév
|
VSM
2. negyed év Elmélet
|
VSM
2. negyed év
Forgalom
|
KK
2. negyed év
|
| 1. |
AM |
- |
- |
- |
173 000 HUF |
| 2. |
A1(B) |
- |
- |
- |
117 600 HUF |
| 3. |
A1 |
|
79,17% |
- |
301 400 HUF |
| 4. |
A2 |
|
79,17% |
- |
301 400 HUF |
| 5 |
A |
|
79,17% |
- |
421 400 HUF |
| 6. |
B |
|
53,17% |
64,06% |
440 600 HUF |
| 7. |
C |
|
77,19% |
- |
600 000 HUF |
| 8. |
D |
- |
- |
- |
882 300 HUF |
| 9. |
C+E |
- |
- |
- |
499 600 HUF |
| 10. |
Autóbuszvezetői alapképesítés |
- |
- |
- |
396 100 HUF |
| 11. |
Autóbuszvezetői továbbképzés |
- |
- |
- |
176 100 HUF |
| 12. |
Autóbuszvezetői és tgk - vezetői összevont alapképesítés |
- |
- |
- |
631 100 HUF |
| 13. |
Autóbuszvezetői és tgk - vezetői összevont továbbképesítés |
- |
- |
- |
196 100 HUF |
| 14. |
Tehergépkocsi-vezetői alapképesítés |
- |
- |
- |
396 100 HUF |
| 15. |
Tehergépkocsi-vezetői továbbképzés |
- |
- |
- |
176 100 HUF |
2014. október 01-én az alábbi KRESZ vizsgára vonatkozó határidők léptek életbe:
24/2005, (IV.21.) GKM rendelet 10. §(1) elméleti vizsgára az bocsátható, aki a)45 a tanfolyam elméleti részét az 5. § (3) bekezdésében foglaltak szerint végezte és az első vizsgaeseményig az adott tanfolyam megkezdésétől számított kevesebb, mint kilenc hónap telt el, (5)58 . Amennyiben a tanuló a tanfolyam kezdetétől számított tizenkét hónapon belül nem teszi le sikeresen az elméleti vizsgáit, akkor csak a teljes tanfolyam megismétlését követően jelenthető ismét elméleti vizsgára.
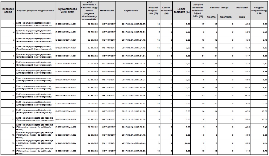
Összegző statisztika okj-s Képzésről 2017 évről

|